개발 공부 32

[플랭고] 스프링 시큐리티 실패 핸들러 에서 직접 예외를 던지면 안 되는 이유

문제 상황 개발 중인 프로젝트에서 json 형태로 로그인을 처리하기 위해 AbstractAuthenticationProcessingFilter을 상속받는 커스텀 AuthenticationFilter를 구현하고 시큐리티에 필터로 등록해 사용하려고 했다. 다음과 같이 커스텀 Json 로그인 처리 필터를 구현하고 public class JsonEmailPasswordAuthenticationFilter extends AbstractAuthenticationProcessingFilter { ... @Override public Authentication attemptAuthentication(HttpServletRequest request, HttpServletResponse response) throws Au..

[알고리즘 - 구현] 뱀

☀️ 시작 풀다 풀다 안 풀려서 결국 답지를 보고 풀었던 문제.. 생각보다 간단했는데 처음에 했던 잘못된 접근법 하나에서 빠져나오지 못해 결국 풀지 못했다. 다음엔 오래 안 풀리는 문제는 며칠 뒤에 다시 도전해보는 것도 재밌을 것 같다. 📖 문제 문제 링크 먼저 문제는 뱀 게임을 시뮬레이션하는 문제로, 보드 위에서 움직이는 뱀이 벽에 닿거나 자신의 몸과 부딪히면 끝나는 게임의 종료까지 걸리는 시간을 계산하는 문제이다. 입력으로는 사과의 좌표와 방향 전환을 언제, 어떤 방향으로 해야하는지가 주어진다. 처음에는 문제를 잘못 이해해서 '방향 전환'이라는게 아래와 같이 방향 전환과 직진을 동시에 하는 건줄 알았는데 문제를 다시 잘 읽어보니 아래와 같이 n초 후에 뱀의 머리만 방향을 전환하는 것이었다. 즉, 4초..

[알고리즘 - 구현] 기둥과 보 설치

☀️ 시작 이번 문제는 2020 신입 개발자 블라인드 채용 1차 코딩 테스트의 5번 문항 '기둥과 보 설치' 문제이다. 확실히 구현문제는 어렵지만 머릿속으로 풀이 과정을 생각하고 이를 코드로 구현해내는 과정이 재밌고 뿌듯하다. 정답률이 1.9%라는데 나도 그랬지만 카카오 코테는 블라인드라 일단 지원하고 보는 사람이 너무 많아서 정답률에 크게 의미를 두지 않아야 할 것 같다는 생각이 든다. 그래도 항상 손도 못대던 카카오 코테인데 이번엔 직접 풀 수 있어서 기분이 좋았다. 📖 문제 문제 링크 먼저 문제의 구현 요구사항을 간단히 요약하면, 죠르디가 '기둥'과 '보'를 사용해 구조물을 만들려고 하는데 입력으로 주어지는 '설치'와 '삭제' 요청을 시뮬레이션하면서 가능한 요청만 반영하여 최종 완성된 구조물을 출력..

[알고리즘 - 그리디] 주식

문제 문제 링크 - https://www.acmicpc.net/problem/11501 접근법 정답을 얻기 위해서는 아래와 같이 계산하면 된다. 현재 주식 가격 이후에 더 비싼 가격이 있으면 -> 오늘 주식을 산다 현재 주식이 남은 주식 가격 중 가장 비싼 가격이면 -> 현재까지 구매한 주식을 모두 판다 앞으로 더 비싼 주식 가격이 없으면 -> 아무것도 하지 않는다 문제는 이를 구현하는 방법인데, 처음에는 단순히 (주식 가격) 배열의 앞에서부터 순회하며 계산을 시도했다. 코드는 아래처럼 될 것이다. // main()에서 입력 처리 후 solution을 부르도록 작성 public static int solution(final int days, final int[] prices) { PriorityQueue..

[알고리즘 - 그리디] 무지의 먹방 라이브

문제 문제 링크 - 프로그래머스 그렇다고 합니다. 무지가 갑자기 얄미워보이는 마법의 코테 결국 정리하면 0, 1, …, n초 동안 주어진 음식을 먹는데 k초뒤에 어떤 음식을 먹고있을지 출력하는 문제이다. 단순하게 k번 루프를 돌리면 답이 나오긴 하곘지만 입력 범위가 엄청 크기 때문에 다른 방법을 써야 될 것 같았다. 풀이 방법 그래서 처음에 생각한 방법은 이렇다. LinkedList에 주어진 음식(섭취에 걸리는 시간)들을 모두 넣어 오름차순으로 정렬 정렬되기 이전 순서대로 ArrayList로도 하나 만들어두고 두 list가 같은 객체들을 참조하도록 해준다 루프안에서 현재 count를 기억해두고 현재와 동일한 시간을 갖는 음식을 removeFirst() - O(1) 으로 제거 이때 음식의 시간을 0으로 변..

DTO의 사용범위

배경 넥스트스텝의 학습테스트로 배우는 Spring 과정을 수강하고 있는데, 과정 진행 중 controller 패키지의 DTO를 어떤 계층까지 사용하면 좋을지에 대한 고민이 들었다. 처음엔 간단하게 생각했지만 생각보다 고민할 내용이 많았어서 고민한 내용과 결론을 정리해보려고 한다. DTO란 먼저, DTO는 Data Transfer Object의 약자로 말그대로 계층 간에 데이터를 주고 받기 위해 사용하는 객체이다. 보통 비지니스 로직은 두지 않고 필드와 그에 대한 getter와 생성자 등만 구현해두고 사용하는 경우가 많다. 예를 들어 아래와 같은 객체가 DTO이다. @NoArgsConstructor @Getter public class PlayRequestDto { private String names; ..

[알고리즘 - 완전탐색] 전력망을 둘로 나누기

문제 문제 링크 풀이 문제를 푸는 여러 가지 방법이 있을 것 같았는데 간단한 방법으로 문제를 풀었다. 입력으로 간선 정보가 주어지므로 순회를 통해 하나씩 간선을 제외하고, 제외된 간선에 속한 노드를 각각 시작점으로 하여 그 시작점과 연결되어 있는 노드들의 합이 몇 개인지 카운트한다. 그리고 그렇게 카운트된 두 값의 차의 절댓값을 구한다. 이렇게 구한 절댓값의 최솟값을 계속해서 갱신해가면 모든 간선을 순회했을 때 가장 노드의 차이가 적을 때의 값을 구할 수 있다. 예를 들어 입력이 [[1,3],[2,3],[3,4],[4,5],[4,6],[4,7],[7,8],[7,9]] 라고 하면, 가장 먼저 [1, 3] 간선이 선택될 것이고 (그래프에서 해당 간선을 제외) 1번과 3번 노드를 분리해놓고 1번과 3번으로부터..

[알고리즘] 전화번호 목록

문제 문제 링크 풀이 예를 들어 phone_book 배열이 ["12","123","1235","567","88"] 처럼 주어졌을 때 1235에 12가 포함되므로 접두사가 되며 false가 정답이 된다. 이를 단순하게 확인하려면 모든 원소에 대하여 모든 다른 원소와 비교하면 문제는 해결되지만 시간복잡도가 O(n^2)이 되어 효율성 테스트에서 오답이 나오게 된다. O(n)에 문제를 해결하려면 한번만 순회하면서 답을 찾아야 한다. 이를 위해서는 각각의 자릿수에 대하여 더 작은 수가 앞에 오도록 정렬을 해주면 된다. 예를 들어 "12"와 "123" 이 있다면 "12", "123"으로 정렬을 해야 하고 "1"과 "123" 이 있다면 "1", "123"으로, "2"와 "24"와 "134"이 있다면 "134", "2..

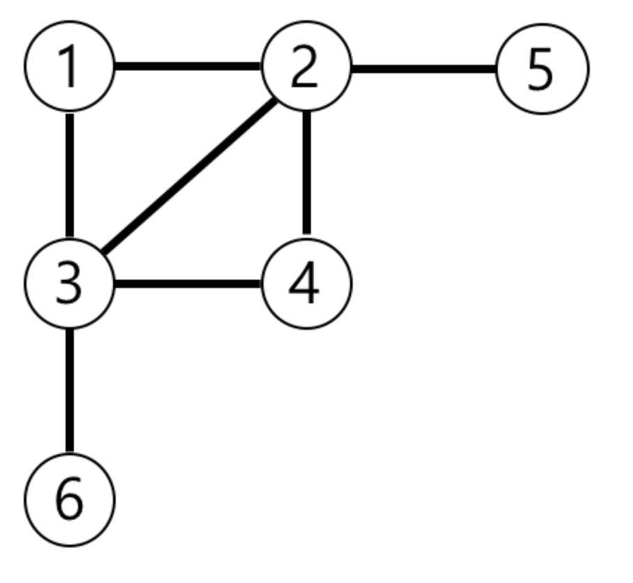
[알고리즘 - 그래프] 다익스트라 - 가장 먼 노드

문제 문제 링크 풀이 이 문제는 하나의 노드에서 다른 모든 노드까지의 최소 경로를 구하는 문제로 다익스트라 알고리즘을 이용해 풀이할 수 있다. 다익스트라 알고리즘 다익스트라 알고리즘은 아래와 같은 방식으로 동작한다. 출발 노드 설정 최단 거리 테이블 초기화 방문하지 않은 && 최단 거리가 가장 짧은 노드를 선택 3에서 선택한 노드를 거쳐 다른 노드로 가는 비용을 계산해 최단 거리 테이블을 갱신 끝날 때 까지 3, 4번 과정을 반복 문제의 테스트 케이스에 적용 1번 노드부터 나머지 노드로의 최단 경로를 구하는 문제이므로 출발 노드는 1번으로 설정 간선에 가중치가 없으므로 출발노드와 이웃하는 노드까지의 거리를 1로 설정 방문하지 않은 노드 중 최단 경로가 최소인 2(또는 3)번 노드를 선택 이웃한 노드의 최..